| Home > Authorities > Institutes > Record #167305 |
ILP
Institut fur Laser-Physik| ID | I:(DE-H253)ILP-20120806 |
All known publications ...
Download: BibTeX | EndNote XML, Text | RIS |
Journal Article
Out of the blue : semiconductor laser pumped visible rare-earth doped lasers
Laser & photonics reviews 10(4), 548 - 568 (2016) [10.1002/lpor.201500290]
Files
BibTeX |
EndNote:
XML,
Text |
RIS
Journal Article
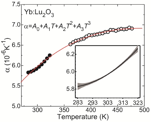
Thermo-optic properties of $\mathrm{Yb:Lu_2O_3}$ single crystals
Applied physics / B 120(4), 601-607 (2015) [10.1007/s00340-015-6171-4]
Files
BibTeX |
EndNote:
XML,
Text |
RIS
Journal Article
Efficient $\mathrm{Yb^{3+}:CaGdAlO_4}$ bulk and femtosecond-laser-written waveguide lasers
Optics letters 40(15), 3552 (2015) [10.1364/OL.40.003552]
Files
BibTeX |
EndNote:
XML,
Text |
RIS
Journal Article
Thermal Properties of Borate Crystals for High Power Optical Parametric Chirped-Pulse Amplification
Optics express 22(15), 17607 - 17619 (2014) [10.1364/OE.22.017607]
Files
BibTeX |
EndNote:
XML,
Text |
RIS
Lecture/Internal Report
Physik VI (Atom-, Molekül- und Laserphysik)
Lecture at Universität Hamburg (Hamburg), 2 Apr 2013 - 12 Jul 2013
BibTeX |
EndNote:
XML,
Text |
RIS
All known publications ...
Download: BibTeX | EndNote XML, Text | RIS |